Climate change is already impacting the global food production system (Ray et al, 2019). The impacts exhibited are intensified by the rise in pest and disease attacks, crop failure due to the meteorological droughts and other extreme weather events (Campbell (2022), European Environmental Agency (2024)). The IPCC sixth assessment report (AR6) states the decline of the crop yield loss to various extents in different parts of the world, especially for Africa, Asia and South America (IPCC, 2022). Over the century, the droughts are expected to become more frequent in most of Europe, especially in Southern Europe (Busschaert et al, 2022). Therefore, there will be a substantial production loss for most European areas over the next 80 years (Campbell, 2022). Crop yield change happens due to several factors but Crop response to maximum temperature is highlighted in the AR6 (check FAQ 12.2, Figure 1 from IPCC, 2022).

| *FAQ 12.2, Figure 1 | Crop response to maximum temperature thresholds. Crop growth rate responds to daily maximum temperature increases, leading to reduced growth and crop failure as temperatures exceed critical and limiting temperature thresholds, respectively. Note that changes in other environmental factors (such as carbon dioxide and water) may increase the tolerance of plants to increasing temperatures. (source: [FAQ 12.2 Figure 1 in IPCC, 2021: Chapter 12 of IPCC, 2022](https://www.ipcc.ch/report/ar6/wg1/figures/chapter-12/faq-12-2-figure-1)).* |
RethinkAction Project has identified crop yield change as a major climate risk in five of the six case studies (D6.1), so it was necessary to assess the crop yield change with the available downscaled climate data (D3.4) by using crop yield models.
Crop yield models can assist in assessing the irrigation requirement under climate change and provide useful information to farmers and decision-makers for devising irrigation management strategies (Reta et al., 2024; Busschaert et al, 2022). Different crop models have been used to estimate current and future crop yields and irrigation requirements (Koukouli et al, 2025; Busschaert et al., 2022; Bouras et al., 2019). AquaCrop, developed by the Food and Agriculture Organization (FAO), has been found particularly suitable for conditions in which water is the main limiting factor for crop growth (Steduto et al., 2009).
Within the scope of the RethinkAction project, a python library called AquaCrop-OSPy (Kelly, T. D., & Foster, T, 2021) was used to calculate the yield of different crops for different case studies. Results showed that, under different climate scenarios the yield of Barley in the province of Almería (https://rethinkaction.eu/cases/almer%C3%ADa-spain/) can decrease as much as 44.8% at mid-century and 55% at the end of the century (Saretto et. al 2024) (https://rethinkaction.eu/posts/thesis/) . Due to limitations with AquaCrop-OSPy the likelihood of these results was unknown.

Percentage change (%) in rain-fed Barley yield for different Initial Soil Water Contents, in the mid-century (left) and end-century (right) time periods, under SSP1-2.6, SSP2-4.5, and SSP5-8.5. [Source: Saretto et al. (2024)]
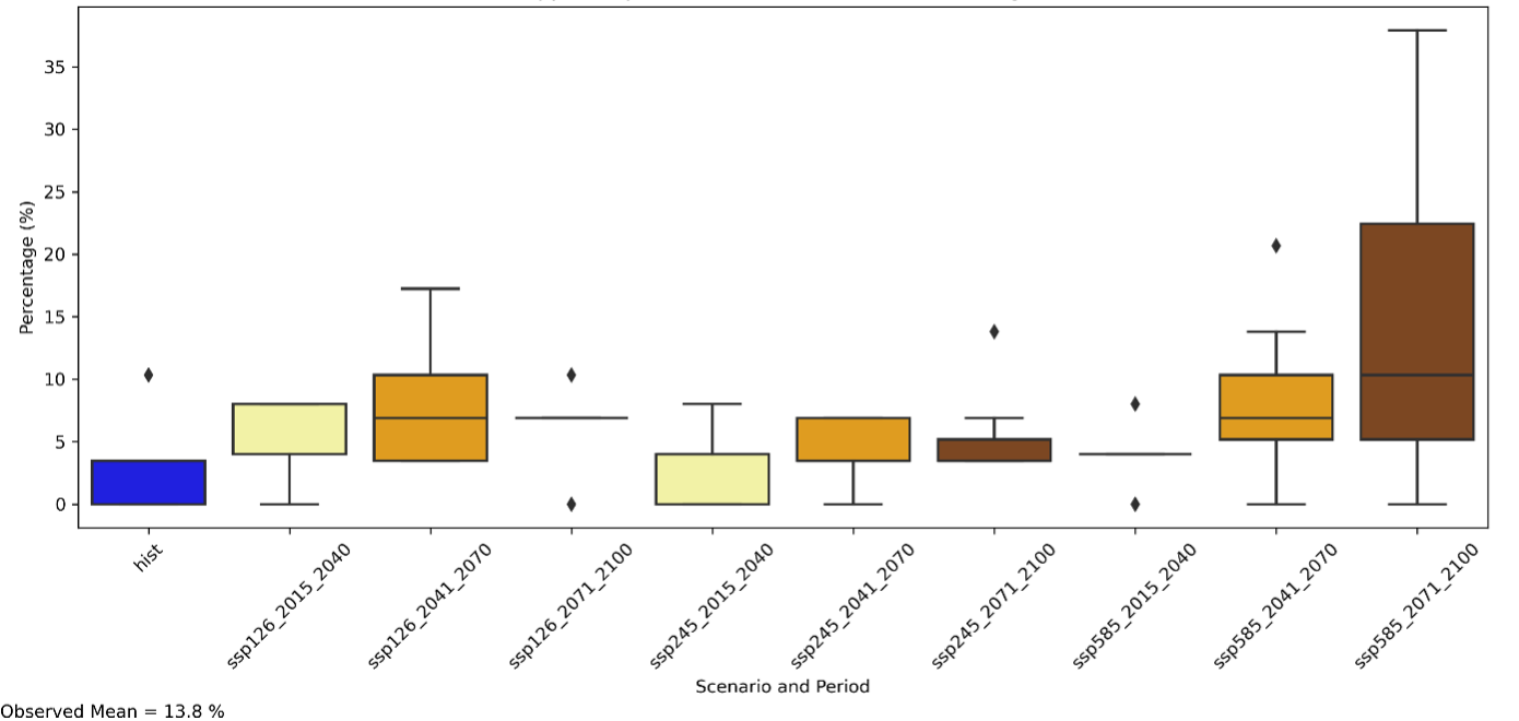
To reduce uncertainty the simulation framework was updated to use instead the AquaCrop Standalone version 7.1 (Raes et al., 2023). This was achieved because a more accurate soil water balance simulation option which is available in this version. The new results set the future outlook to a more probable increase trend in yield, which has similarities with the most optimistic results previously found by Saretto et.al. (2024).

Percentage change (%) in rain-fed Barley yield using the new programing framework, for 3 future periods (2015-2040, 2041-2070 and 2071-2100) and scenarios (SSP1-2.6, SSP2-4.5, and SSP5-8.5) [Source: FC.ID]
The new framework has also been further applied to investigate the yield variation in all other RethinkAction case studies, using information provided by Case Study leaders and other sources. Simulations have been run for 3 main cultures of each Case Study: a cereal, a vegetable and a fruit. For Almería, a specific procedure was developed for tomatoes grown in greenhouses. For maize in the Azores Archipelago (CS6), results show that yields can slightly decrease in the first and middle century periods, with lower values expected for the end century, especially in the SSP5-8.5 scenario where the yield can decrease by 15% on average.

Percentage change (%) in rain-fed Maize yield using continuous soil water balance, for 3 future periods (2015-2040, 2041-2070 and 2071-2100) and scenarios (SSP1-2.6, SSP2-4.5, and SSP5-8.5) [Source: FC.ID]
The current simulation framework proved to be useful as to reduce uncertainty of yield projections driven by climate change scenarios, thus improving the outcomes from the RethinkAction project which we intend to publish.
We also calculated an indicator related to the probability of crop failure (defined as 50% loss or more of the historical yield). Preliminary results show that, for example, in Tarn-et-Garonne (France), the crop failure probability can increase in future climate scenarios, mainly due to a combination of droughts and higher temperatures.

Apple crop failure probability for Tarn-et-Garonne (France), for the historical, for 3 future periods (2015-2040, 2041-2070 and 2071-2100) and scenarios (SSP1-2.6, SSP2-4.5, and SSP5-8.5). [Source: FC.ID]
Further development of the simulation framework is planned, covering integration of soil irrigation and mulching (see figure below) which are Land use-based Adaptation and Mitigation Solutions (LAMS) identified by the project (Chiriacò et.al. (2025)). We consider that this information will help stakeholders to estimate how much water will be needed in the future to maintain the current yield levels.
_________________________________________________________________________________
References:
Bouras, E., Jarlan, L., Khabba, S., Er-Raki, S., Dezetter, A., Sghir, F., & Tramblay, Y. (2019). Assessing the impact of global climate changes on irrigated wheat yields and water requirements in a semi-arid environment of Morocco. Scientific Reports, 9, Article 19142. https://doi.org/10.1038/s41598-019-55302-6
Busschaert, L., de Roos, S., Thiery, W., Raes, D., and De Lannoy, G. J. M. (2022): Net irrigation requirement under different climate scenarios using AquaCrop over Europe, Hydrol. Earth Syst. Sci., 26, 3731–3752, https://doi.org/10.5194/hess-26-3731-2022
Campbell, B. 2022. Climate change impacts and adaptation options in the agrifood system – A summary of recent IPCC Sixth Assessment Report findings. Rome, FAO.
Chiriacò, M. V., Dămătîrcă, C. et. al & De Notaris, C. (2025). A catalogue of land-based adaptation and mitigation solutions to tackle climate change. Scientific Data, 12(1), 166. https://doi.org/10.1038/s41597-025-04484-0
D3.4 - Results of the downscaling of essential climate variables at EUWP3 – Data processing for climate and land use modelling, Project Consortium, September 2023
D6.1 - Climate change impacts, risks and vulnerabilities in each case study, WP6 – Case studies-local evaluation, Project Consortium, Feb 2025 (Waiting for acceptance)
European Environment Agency (2023). Drought impact on ecosystems in Europe. European Environment Agency. Retrieved April 23, 2025, from https://www.eea.europa.eu/en/analysis/indicators/drought-impact-on-ecosystems-in-europe
IPCC (2022). Summary for Policymakers. Edited by: Portner, H.O., Roberts, D.C., Poloczanska, E.S., Mintenbeck, K., Tignor, M., Alegria, A., Craig, M., Langsdorf, S., Loschke, S., Moller, V., Okem, A. In: IPCC. 2022. Climate Change 2022: Impacts, Adaptation, and Vulnerability. Contribution of Working Group II to the Sixth Assessment Report of the Intergovernmental Panel on Climate Change. Edited by: Portner, H.O., Roberts, D.C., Tignor, M., Poloczanska, E.S., Mintenbeck, K., Alegria, A., Craig, M., Langsdorf, S., Loschke, S., Moller, V., Okem, A. & Rama, B. Cambridge, UK, Cambridge University Press.
Feng, D., Li, G., Wang, D., Wulazibieke, M., Cai, M., Kang, J., Yuan, Z., & Xu, H. (2022). Evaluation of AquaCrop model performance under mulched drip irrigation for maize in Northeast China. Agricultural Water Management, 261, 107372. https://doi.org/10.1016/j.agwat.2021.107372
Kelly, T. D., & Foster, T. (2021). AquaCrop-OSPy: Bridging the gap between research and practice in crop-water modeling. Agricultural Water Management, 254, 106976. https://doi.org/10.1016/j.agwat.2021.106976
Koukouli, P., Georgiou, P., & Karpouzos, D. (2025). Assessment of the Impacts of Climate Change Scenarios on Maize Yield and Irrigation Water Using the CropSyst Model: An Application in Northern Greece. Agronomy, 15(3), 638. https://doi.org/10.3390/agronomy15030638
Ray DK, West PC, Clark M, Gerber JS, Prishchepov AV, Chatterjee S (2019). Climate change has likely already affected global food production. PLoS ONE 14(5): e0217148. https://doi.org/10.1371/journal.pone.0217148
Raes, D., Busschaert, L., Bechtold, M., De Roos, S., Heyvaert, Z., Mortelmans, J., Scherrer, S., Van den Bossche, M., & De Lannoy, G., with the contribution of the AquaCrop Network (2023). AquaCrop stand-alone (plug-in) program: Version 7.1 reference manual. FAO, Rome, Italy.
Reta, B. G., Hatiye, S. D., & Finsa, M. M. (2024). Crop water requirement and irrigation scheduling under climate change scenario, and optimal cropland allocation in lower Kulfo catchment. Heliyon, 10, Article e31332. https://doi.org/10.1016/j.heliyon.2024.e31332
Saretto, F., Roy, B., Encarnação Coelho, R., Reder, A., Fedele, G., Oakes, R., Brandimarte, L., & Capela Lourenço, T. (2024). Impacts of Climate Change and Adaptation Strategies for Rainfed Barley Production in the Almería Province, Spain. Atmosphere, 15(5), 606. https://doi.org/10.3390/atmos15050606
Steduto, P., Hsiao, T. C., Raes, D., & Fereres, E. (2009). AquaCrop—The FAO crop model to simulate yield response to water: I. Concepts and underlying principles. Agronomy Journal, 101(3), 426–437. https://doi.org/10.2134/agronj2008.0139s